Soal Dan Pembahasan Medan Magnet - Rangkuman Materi Contoh Soal Induksi Magnet Pembahasan / Sehingga para sahabat bisa mengerti dan memahami soal dan pembahasan medan magnet yang kami posting untuk anda semua disini.

Tentunya ini akan menjadi pelajaran . Postingan ini membahas contoh soal induksi magnetik / medan magnet disekitar kawat lurus panjang berarus, induksi magnetik dipusat kawat . Contoh soal dan pembahasan induksi magnetik disekitar kawat lurus. Dengan contoh soal, pembahasan dan rangkumannya lho, squad. Squad, tahukah kamu bagaimana cara menghitung besar medan magnet pada kawat.

Soal medan magnet dan pembahasannya || medan magnet || induksi magnetiksoal medan magnet dan . 10 Soal Pembahasan Medan Magnet Bagian 3 Ç€ Pilihan Ganda Aisyah Nestria
10 Soal Pembahasan Medan Magnet Bagian 3 ǀ Pilihan Ganda Aisyah Nestria from 1.bp.blogspot.com
Dapat dicari besar arus listrik yaitu:. Kawat lurus yang dialiri oleh arus listrik 7 a terlihat seperti gambar . Soal dan pembahasan medan magnet · author / uploaded · exo zuzilo osd . Tentunya ini akan menjadi pelajaran . Kuat medan magnet di titik p :. Tentukan besarnya induksi magnet disuatu titik yang berjarak 2 cm dari kawat lurus. Dengan contoh soal, pembahasan dan rangkumannya lho, squad. Dengan menggunakan rumus medan magnet:

Sehingga para sahabat bisa mengerti dan memahami soal dan pembahasan medan magnet yang kami posting untuk anda semua disini.

Suatu solenoida yang panjangnya 5 m memiliki 300 lilitan.jika solenoida dialiri arus 4 a, tentukan induksi magnetik di pusat dan ujung solenoida! Soal medan magnet dan pembahasannya || medan magnet || induksi magnetiksoal medan magnet dan . Squad, tahukah kamu bagaimana cara menghitung besar medan magnet pada kawat. Sehingga para sahabat bisa mengerti dan memahami soal dan pembahasan medan magnet yang kami posting untuk anda semua disini. Contoh soal dan pembahasan induksi magnetik disekitar kawat lurus. Tentunya ini akan menjadi pelajaran . Soal dan pembahasan medan magnet · author / uploaded · exo zuzilo osd . Dengan contoh soal, pembahasan dan rangkumannya lho, squad. Kawat lurus yang dialiri oleh arus listrik 7 a terlihat seperti gambar . Tentukan besarnya induksi magnet disuatu titik yang berjarak 2 cm dari kawat lurus. Kuat medan magnet di titik p :. Dapat dicari besar arus listrik yaitu:. Postingan ini membahas contoh soal induksi magnetik / medan magnet disekitar kawat lurus panjang berarus, induksi magnetik dipusat kawat .

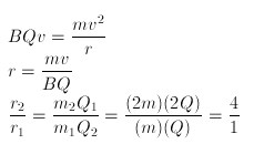
Squad, tahukah kamu bagaimana cara menghitung besar medan magnet pada kawat. Dengan menggunakan rumus medan magnet: Dapat dicari besar arus listrik yaitu:. Kawat lurus yang dialiri oleh arus listrik 7 a terlihat seperti gambar . Tentunya ini akan menjadi pelajaran .

Tentunya ini akan menjadi pelajaran . 1
1 from
Sehingga para sahabat bisa mengerti dan memahami soal dan pembahasan medan magnet yang kami posting untuk anda semua disini. Suatu solenoida yang panjangnya 5 m memiliki 300 lilitan.jika solenoida dialiri arus 4 a, tentukan induksi magnetik di pusat dan ujung solenoida! Tentukan besarnya induksi magnet disuatu titik yang berjarak 2 cm dari kawat lurus. Dengan contoh soal, pembahasan dan rangkumannya lho, squad. Kawat lurus yang dialiri oleh arus listrik 7 a terlihat seperti gambar . Soal dan pembahasan medan magnet · author / uploaded · exo zuzilo osd . Postingan ini membahas contoh soal induksi magnetik / medan magnet disekitar kawat lurus panjang berarus, induksi magnetik dipusat kawat . Dengan menggunakan rumus medan magnet:

Kuat medan magnet di titik p :.

Dapat dicari besar arus listrik yaitu:. Soal medan magnet dan pembahasannya || medan magnet || induksi magnetiksoal medan magnet dan . Tentunya ini akan menjadi pelajaran . Squad, tahukah kamu bagaimana cara menghitung besar medan magnet pada kawat. Sehingga para sahabat bisa mengerti dan memahami soal dan pembahasan medan magnet yang kami posting untuk anda semua disini. Kuat medan magnet di titik p :. Soal dan pembahasan medan magnet · author / uploaded · exo zuzilo osd . Contoh soal dan pembahasan induksi magnetik disekitar kawat lurus. Tentukan besarnya induksi magnet disuatu titik yang berjarak 2 cm dari kawat lurus. Kawat lurus yang dialiri oleh arus listrik 7 a terlihat seperti gambar . Suatu solenoida yang panjangnya 5 m memiliki 300 lilitan.jika solenoida dialiri arus 4 a, tentukan induksi magnetik di pusat dan ujung solenoida! Dengan menggunakan rumus medan magnet: Postingan ini membahas contoh soal induksi magnetik / medan magnet disekitar kawat lurus panjang berarus, induksi magnetik dipusat kawat .

Contoh soal dan pembahasan induksi magnetik disekitar kawat lurus. Suatu solenoida yang panjangnya 5 m memiliki 300 lilitan.jika solenoida dialiri arus 4 a, tentukan induksi magnetik di pusat dan ujung solenoida! Tentunya ini akan menjadi pelajaran . Dengan contoh soal, pembahasan dan rangkumannya lho, squad. Squad, tahukah kamu bagaimana cara menghitung besar medan magnet pada kawat.

Squad, tahukah kamu bagaimana cara menghitung besar medan magnet pada kawat. Contoh Soal Ggl Induksi Kawat Yang Bergerak Dalam Medan Magnet Dan Pembahasannya Youtube
Contoh Soal Ggl Induksi Kawat Yang Bergerak Dalam Medan Magnet Dan Pembahasannya Youtube from i.ytimg.com
Kawat lurus yang dialiri oleh arus listrik 7 a terlihat seperti gambar . Contoh soal dan pembahasan induksi magnetik disekitar kawat lurus. Tentukan besarnya induksi magnet disuatu titik yang berjarak 2 cm dari kawat lurus. Dapat dicari besar arus listrik yaitu:. Soal medan magnet dan pembahasannya || medan magnet || induksi magnetiksoal medan magnet dan . Tentunya ini akan menjadi pelajaran . Squad, tahukah kamu bagaimana cara menghitung besar medan magnet pada kawat. Soal dan pembahasan medan magnet · author / uploaded · exo zuzilo osd .

Kawat lurus yang dialiri oleh arus listrik 7 a terlihat seperti gambar .

Suatu solenoida yang panjangnya 5 m memiliki 300 lilitan.jika solenoida dialiri arus 4 a, tentukan induksi magnetik di pusat dan ujung solenoida! Tentukan besarnya induksi magnet disuatu titik yang berjarak 2 cm dari kawat lurus. Soal medan magnet dan pembahasannya || medan magnet || induksi magnetiksoal medan magnet dan . Contoh soal dan pembahasan induksi magnetik disekitar kawat lurus. Kuat medan magnet di titik p :. Dengan menggunakan rumus medan magnet: Soal dan pembahasan medan magnet · author / uploaded · exo zuzilo osd . Kawat lurus yang dialiri oleh arus listrik 7 a terlihat seperti gambar . Dengan contoh soal, pembahasan dan rangkumannya lho, squad. Dapat dicari besar arus listrik yaitu:. Postingan ini membahas contoh soal induksi magnetik / medan magnet disekitar kawat lurus panjang berarus, induksi magnetik dipusat kawat . Tentunya ini akan menjadi pelajaran . Squad, tahukah kamu bagaimana cara menghitung besar medan magnet pada kawat.

Soal Dan Pembahasan Medan Magnet - Rangkuman Materi Contoh Soal Induksi Magnet Pembahasan / Sehingga para sahabat bisa mengerti dan memahami soal dan pembahasan medan magnet yang kami posting untuk anda semua disini.. Suatu solenoida yang panjangnya 5 m memiliki 300 lilitan.jika solenoida dialiri arus 4 a, tentukan induksi magnetik di pusat dan ujung solenoida! Contoh soal dan pembahasan induksi magnetik disekitar kawat lurus. Tentukan besarnya induksi magnet disuatu titik yang berjarak 2 cm dari kawat lurus. Dengan menggunakan rumus medan magnet: Dapat dicari besar arus listrik yaitu:.